콘텐츠로 건너뛰기
DMT PARK
DMT PARK

My YouTube Channels

DMT PARK

the empty park

the empty bin

Category

  • members feed
  • self-help
  • 교육
  • 기후
  • 리뷰
  • 물리
  • 미분류
  • 수학
  • 음악

Archive

  • 2026 (25)
  • 2025 (32)
  • 2024 (15)
  • 2023 (12)
  • 2022 (6)
  • 2021 (13)
  • 2020 (4)
음악

공원의 플리 @26 Apr

공원 / 2026년 04월 17일
음악

앨범추천 | The Search for Everything

공원 / 2026년 04월 09일
물리

亡羊 1. 관찰이 없으면 존재도 없다

공원 / 2026년 04월 02일
members-only
교육, 물리

亡羊 0. 길을 잃다

공원 / 2026년 03월 28일
members-only
기후

기후과학 역사에 대한 짧은 리뷰와 챠니 리포트의 의의

공원 / 2026년 03월 17일
리뷰

공부와 작업을 위한 BGM 추천

공원 / 2026년 03월 12일
members-only
미분류

러셀의 찻잔 Russell’s teapot

공원 / 2026년 03월 03일
미분류

위상공간 속 이중진자

공원 / 2026년 03월 03일
미분류

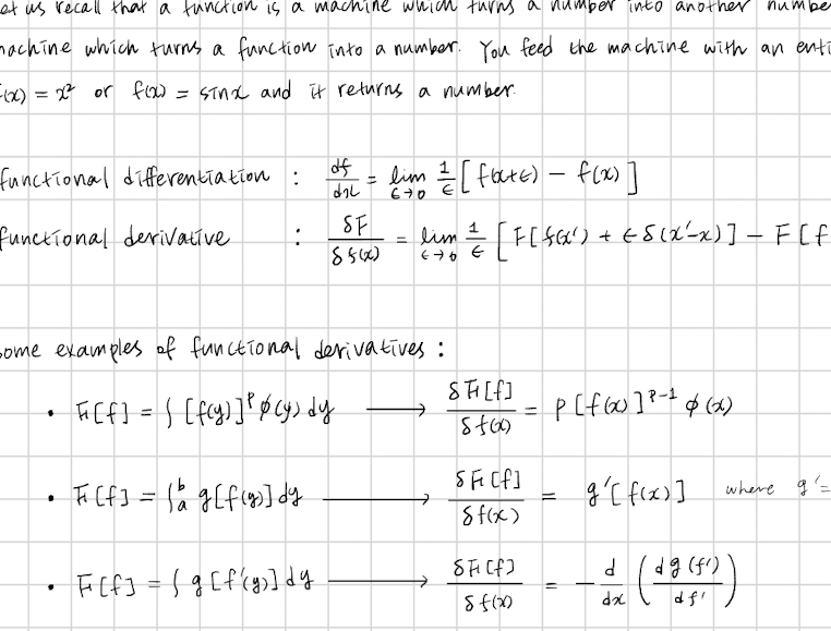
라그랑지 승수 교과서 1장 초안

공원 / 2026년 03월 02일
members-only
1 2 … 11 다음 →